《明日方舟:终末地》水管铺设攻略
- 来源:互联网
- 作者:未知
- 编辑:小怡
明日方舟终末地水管怎么铺设?明日方舟终末地中水管的铺设与其他设备有所不同,很多管理员不清楚怎么铺收益更高。其实水管流速存在叠加机制,通过回流装置可以实现动态增压和流量分配,对优化产线用水很有帮助。下面我们一起来看看明日方舟终末地水管铺设的核心原理与实用技巧。
《明日方舟:终末地》水管铺设攻略
基础流速与堵塞原理
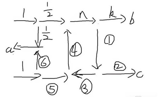
武陵的水管流速为2,而水泵抽水速度为1,两个水泵理论上不会堵塞。但实际铺设中如果设置回流节点,由于终末地中的水流是无碰撞体积的粒子,速度可以简单加和。限制输水量的主要原因是单根水管流速上限为2,超过这个值就会造成堵塞。当回流一次之后下方输入口的输入速度降低为1/2,这就是堵塞产生的根本原因。
回流装置增压器
设计回流装置的初衷是为了省水。蓝图启动时有些地方用水量大,但过一段时间有的地方就不需要用水了,比如液态息壤存满了或是粉碎机堵了。通过回流装置可以设计一种通道,使得当一个出水口所需流量下降时别的出水口流量能增加。基本单元左侧为a口,右侧上为b口,右侧下为c口,一般条件下a:b:c的出水速率为3:2:1。
通过计算可以发现,a输出恒为1,且②=①/2=k/2,因此输出端b:c恒为2:1,于是b=2/3,c=1/3。堵塞情况是一般情形下的特殊情况,回流设备中n限制了b、c输出口的输出量,n最大为2。此时如果要整体不堵塞,只需要a口出水速大于1/2即可。通过调节a出口的流速可以实现b、c端口的增压,a初始流速为1则b、c初始输出为2/3、1/3,一段时间后a口降为1/2,b、c两口可增压为1、1/2。
三端拓展与验证
作为三端装置自然可以拓展:当b口限制出水量时会怎么样。设想回流最终饱和形态,由于b口限制了出水量,k≠①,①=n-k,则②=③=(n-k)/2。此时分两种情况,情况一是a口加压比较小n没有爆掉,此时a=1,b=k,c=1-k。情况二是a口加压大n爆掉,此时a<1/2,b=k,c=1-k/2,然后管道会堵塞。将k=1/2代入验证,此时a=1,c=1/2,则a:c=2:1,通过种植器验证基本符合。
以上就是3DM小编整理带来的明日方舟终末地水管铺设攻略,更多相关游戏攻略,请关注3DM手游网!
本文内容来源于互联网,如有侵权请联系删除。
-
《漫威终极逆转》评测:每局三分钟,随机又公平
手游评测 |廉颇
-
《逆水寒》手游2.0新赛年评测:国风朋克来袭
手游评测 |廉颇




















